• Researchers Discover Candidate Material for Room-Temperature Quantum Spin Hall Effect
    Science
    In condensed-matter physics, the states of matter are classified conventionally as metal, insulator, and semiconductor. In the last few years, a new field has emerged which led to the discovery of a new quantum phase of matter – topological insulators (TIs). A topological insulator, like a conventional insulator, has a bulk energy gap separating the highest occupied electronic band from the lowest...
    2017-08-09
  • SPST Research Team Develops Diverse Supramolecular Nanofiber Networks
    ACS Nano
    SPST Assistant Professor Zhong Chao’s research team recently developed diverse one-dimensional supramolecular nanostructures with distinct functionalities by coupling a modular genetic strategy with kinetically controlled complex supramolecular self-assembly. Their research work opens new doors to designing protein-based supramolecular materials with enriched diversity in both structure and funct...
    2017-07-14
  • New Approach to Convert CO<sub>2</sub> Directly into Gasoline
    Nature Chemistry
    The research team has found a new approach to convert carbon dioxide directly into gasoline by using a bifunctional catalyst contained a reducible oxide (In2O3) and a zeolite (HZSM-5), which will not only help to alleviate the global warming caused by increasing atmospheric CO2 concentration, but also offer a solution to replace dwindling fossil fuels.  The paper by a joint research...
    2017-06-15
  • Professor Qixi Mi’s Group from SPST Design and Fabricate High-Performance Perovskite Semiconductor Materials
    In a recent publication in Advanced Materials titled “Symmetrization of the Crystal Lattice of MAPbI3 Boosts the Performance and Stability of Metal–Perovskite Photodiodes,” Professor Qixi Mi’s group from the School of Physical Science and Technology (SPST) report the design of novel perovskite semiconductor materials, and their applications in high-performance and stable photodiode de...
    2017-06-09
  • SPST  Develops Catalytic Redox Chain Reaction for C-H Alkylation of Quinones
    Angewandte Chemie
    Researchers from the School of Physical Science and Technology, ShanghaiTech University has revealed a new way to synthesize allyl- and benzyl-substituted quinone compounds. The results are summarized by graduate student Xiao-Long Xu and Assistant Professor Zhi Li of SPST in a communication entitled “Catalytic Electrophilic Alkylation of p-Quinones via a Redox Chain Reaction”, which is published...
    2017-06-09
  • Electron Crystallography for Determining the Handedness of Chiral Crystals
    Nature Materials
    Scientists from the ShanghaiTech University’s SPST have proposed two electron crystallography approaches for determining handedness of chiral zeolite nanocrystals. Their work was published in early May as an Advance Online Publication (AOP) in Nature Materials titled “Electron crystallography for determining the handedness of a chiral zeolite nanocrystal.” All three authors are from Shangh...
    2017-05-17
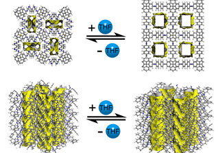
  • Zhang Yuebiao's Group Discovered a “Breathing” Covalent Organic Framework
    Journal of American Chemical Society
    Professor Zhang Yuebiao’s research group, in collaboration with researchers from Lanzhou University, recently published a paper titled “A Dynamic Covalent Organic Framework” in the Journal of American Chemical Society. SPST graduate student Wei Lei is the co-author, and Dr. Zhang Yuebiao and Professor Wang Wei are the corresponding authors. The ShanghaiTech University research was supported by ...
    2017-05-11
  • Ning Lab Developed a High Efficiency and Low Toxicity Photocatalytic Hydrogen Generation Material with Broad Absorbance in Visible Region
    Advanced Materials
    School of Physical Science and Technology Professor Ning Zhijun’s team recently made progress on photocatalytic hydrogen generation. They developed a high efficiency, low toxicity photocatalytic system based on colloidal quantum dots with broad absorbance in visible region.Their paper, “0D–2D Quantum Dot (QD): Metal Dichalcogenide Nanocomposite Photocatalyst Achieves Efficient Hydrogen Generatio...
    2017-04-21
  • Ji Lab Develops Bacterial Superbug Genome Editing Tool
    Journal of American Chemical Society
    The Ji Lab at The School of Physical Science and Technology has developed a CRISPR/Cas9-based system (pCasSA) for rapid andefficient genome editing in Staphylococcusaureus, a major human pathogen that causes serious infections with a highmortality rate. Their work was recently published online in the Journal of the American Chemical Society in a paper titled “Rapid and Efficient Genome Editi...
    2017-03-10
  • Professor Mi Qixi’s SPST Group Develops Novel Titania Material Preparation Method
    Chemical Communications
    Professor Mi Qixi’s group, in collaboration with researchers from Shanghai JiaoTong University and Jilin University, recently published an article titled “Accelerated room-temperature crystallization of ultrahigh-surface-area porous anatasetitania by storing photogenerated electrons” in Chemical Communications. A technology for storing photogeneratedelectrons is applied for accelerating room-te...
    2017-02-27
  • Novel Selective Methionine Bioconjugation Method Launched
    Science
    Post-translational modification (PTM) plays an important role inregulating the physiological activity of proteins, controlling the enzymecatalytic activity and protein-protein recognition in the biological process. The chemical modification of proteins can study the physiological mechanism of proteins by mimicking PTM process, as well as tracking proteins invitro/vivoand developing therapeutic pro...
    2017-02-17